
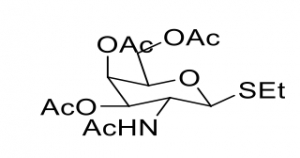
Ethyl 2-Acetamido-34,6-tri-O-acetyl-2-deoxy-beta-D-? thiogalactopyranoside CAS 144218-98-4
Ethyl 2-Acetamido-34,6-tri-O-acetyl-2-deoxy-beta-D-? thiogalactopyranoside,144218-98-4,Ethyl 2-(acetylamino)-2-deoxy-1-thio-beta-D-galactopyranoside 3,4,6-triacetate,乙基 2-(乙酰氨基)-2-脱氧-1-硫代-beta-D-吡喃半乳糖苷 3,4,6-三乙酸酯

2-Acetamido-1,3,4,6-tetra-O-acetyl-2-deoxy-beta-? D-galactopyranose CAS 3006-60-8
2-Acetamido-1,3,4,6-tetra-O-acetyl-2-deoxy-beta-? D-galactopyranose,3006-60-8,beta-D-2-Acetamido-2-deoxy-galactopyranose 1,3,4,6-tetraacetate,2-(乙酰氨基)-2-脱氧-beta-D-半乳糖 1,3,4,6-四乙酸酯; beta-D-2-乙酰氨基-2-脱氧半乳糖 1,3,4,6-四乙酸酯

1,3,4,6-Tetra-O-acetyl-beta-D-galacosamine Hydrochloride CAS 34948-62-4
1,3,4,6-Tetra-O-acetyl-beta-D-galacosamine Hydrochloride,34948-62-4,2-amino-2-deoxy-beta-D-galactopyranose 1,3,4,6-tetraacetate hydrochlorid,1,3,4,6-四-O-乙酰基-Β-D-氨基半乳糖盐酸盐

1,2,3,4,6-Penta-O-acetyl-alpha-D-mannopyranose CAS 4163-65-9
1,2,3,4,6-Penta-O-acetyl-alpha-D-mannopyranose,4163-65-9,alpha-D-Mannose pentaacetate;2,3,4,6-Tetra-O-acetyl-alpha-D-mannopyranosyl acetate,alpha-D-五乙酰甘露糖

1,2,3,4,6-Penta-O-acetyl-D-mannopyranose CAS 25941-03-1
1,2,3,4,6-Penta-O-acetyl-D-mannopyranose,25941-03-1,D-Mannopyranose 1,2,3,4,6-Pentaacetate,D-吡喃甘露糖 1,2,3,4,6-五乙酸酯

1,3,4,6-Tetra-O-acetyl-beta-D-mannopyranose CAS 18968-05-3
1,3,4,6-Tetra-O-acetyl-beta-D-mannopyranose,18968-05-3,1,3,4,6-Tetra-O-acetyl-D-mannopyranose; 1,3,4,6-tetra-O-acetyl-B-D-manno-*pyranose; trimethoxy{3-[1,2,2,2-tetrafluoro-1-(trifluoromethyl)ethoxy]propyl}silane; 1,3,4,6-Tetra-O-acetyl-b-D-mannopyranose,1,3,4,6-四-O-乙酰基-beta-D-吡喃甘露糖

2,3,4,6-Tetra-O-acetyl-beta-D-mannopyranosyl Azide CAS 65864-60-0
2,3,4,6-Tetra-O-acetyl-beta-D-mannopyranosyl Azide,65864-60-0,alpha-d-mannopyranosyl azide tetraacetat,2,3,4,6-四-O-乙酰基-beta-D-甘露糖基叠氮化物

Ally alpha-D-Galactopyranoside CAS 48149-72-0
Ally alpha-D-Galactopyranoside,48149-72-0,2-Propenyl alpha-D-galactoside,烯丙基 alpha-D-吡喃半乳糖苷

2-Nitrophenyl beta-D-Galactopyranoside CAS 369-07-3
2-Nitrophenyl beta-D-Galactopyranoside,369-07-3,ONPG,2-硝基苯-beta-D-半乳糖苷

Isopropyl beta-D-Thiogalactopyranoside (IPTG) CAS 367-93-1
Isopropyl beta-D-Thiogalactopyranoside (IPTG),367-93-1,IPTG; Isopropyl-beta-D-thiogalactoside,异丙基-beta-D-硫代半乳糖吡喃糖苷; 异丙基-beta-D-硫代半乳糖吡喃糖甙; 异丙基-beta-D-硫代半乳糖苷
