
Methyl 2,3,4-Tri-O-benzyl-alpha-D-glucopyranoside CAS 53008-65-4
Methyl 2,3,4-Tri-O-benzyl-alpha-D-glucopyranoside,53008-65-4,,甲基-2,3,4-三-O-苄基-alpha-D-吡喃葡萄糖苷

2,3,4,6-Tetra-O-benzyl-alpha-D-glucopyranose CAS 6564-72-3
2,3,4,6-Tetra-O-benzyl-alpha-D-glucopyranose,6564-72-3,2,3,4,6-Tetra-O-benzyl-alpha-D-glucose,2,3,4,6-四-O-苄基-alpha-D-吡喃葡萄糖; 2,3,4,6-四苄基-alpha-D-葡萄糖

2-Chloro-4-nitrophenyl beta-D-Glucopyranoside CAS 120221-14-9
2-Chloro-4-nitrophenyl beta-D-Glucopyranoside,120221-14-9,,2-氯-4-硝基苯基 beta-D-吡喃葡萄糖苷

4-(beta-D-Glucopyranosyloxy)-3-methoxybenzaldehyde CAS 494-08-6
4-(beta-D-Glucopyranosyloxy)-3-methoxybenzaldehyde,494-08-6,Glucovanillin,4-(beta-D-葡萄糖基)-3-甲氧基苯甲醛

D-Glucose-6-phosphate dipotassium salt trihydrate CAS 207727-36-4(5996-17-8)
D-Glucose-6-phosphate dipotassium salt trihydrate,207727-36-4(5996-17-8),D-Glucose 6-Phosphate, Dipotassium Salt Trihydrate,D-葡萄糖 6-(磷酸二氢酯)二钾盐三水合物

Phenyl 2,3,4,6-Tetra-O-acetyl-alpha-D-glucopyranoside CAS 3427-45-0
Phenyl 2,3,4,6-Tetra-O-acetyl-alpha-D-glucopyranoside,3427-45-0,Phenyl tetra-O-acetyl-alpha-D-glucopyranoside; Phenyl alpha-D-glucopyranoside tetraacetate,苯基 2,3,4,6-四-O-乙酰基-alpha-D-吡喃葡萄糖苷

1,3,4,6-tetra-O-acetyl-2-deoxy-2-acetamido-alpha-D-glucopyranose CAS 7784-54-5
1,3,4,6-tetra-O-acetyl-2-deoxy-2-acetamido-alpha-D-glucopyranose,7784-54-5,2-Acetamido-2-deoxy-alpha-D-glucopyranose 1,3,4,6-tetraacetate; NSC 231931,1,3,4,6-四-O-乙酰基-2-乙酰氨基-2-脱氧-alpha-D-吡喃葡萄糖

3,4,6-Tri-O-acetyl-2-deoxy-2-acetamido-alpha-D-glucopyranosyl Chloride CAS 3068-34-6
3,4,6-Tri-O-acetyl-2-deoxy-2-acetamido-alpha-D-glucopyranosyl Chloride,3068-34-6,2-Acetamido-2-deoxy-3,4,6-tri-O-acetyl-alpha-D-glucopyranosyl chloride; 2-Acetamido-3,4,6-tri-O-acetyl-2-deoxy-alpha-D-glucopyranosyl chloride; N,3,4,6-O-Tetraacetyl-alpha-D-glucosaminyl chloride; N-Acetyl-3,4,6-tri-O-acetyl-alpha-D-glucosamin-2-yl chloride,1-氯-1-脱氧-2,3,4,6-四-O-乙酰基-alpha-D-葡糖胺

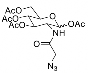
1,3,4,6-Tetra-O-acetyl-2-deoxy-2-[(2-azidoacetyl)amino]-beta-Dglucopyranose CAS 857677-98-6
1,3,4,6-Tetra-O-acetyl-2-deoxy-2-[(2-azidoacetyl)amino]-beta-Dglucopyranose,857677-98-6,N-Azidoacetylglucosamine tetraacetate,2-[(叠氮基乙酰基)氨基]-2-脱氧-beta-D-吡喃葡萄糖 1,3,4,6-四乙酸酯

2-[(Azidoacetyl)amino]-2-deoxy-D-glucose CAS 92659-90-0
2-[(Azidoacetyl)amino]-2-deoxy-D-glucose,92659-90-0,N-Azidoacetylglucosamine,N-叠氮基乙酰基葡萄糖胺
