
UDP-6-azido-6-deoxy-D-Gal.2Na CAS 868208-96-2
UDP-6-azido-6-deoxy-D-Gal.2Na,868208-96-2,Uridine 5-disphospho-6-azido-6-deoxy-D-galactose disodium salt,

UDP-beta-L-Ara.2Na CAS 15839-78-8(331001-44-6)
UDP-beta-L-Ara.2Na,15839-78-8(331001-44-6),Uridine 5-disphospho-beta-L-arabinose disodium salt,UDP-阿拉伯糖

CMP-Neu5Gc.2Na CAS 98300-80-2
CMP-Neu5Gc.2Na,98300-80-2,Cytidine monophosphate-N-glycoloylneuraminic acid,腺苷-5'-单磷酸-N-羟乙酰神经氨酸二钠盐

Decyl-beta-D-glucopyranoside CAS 58846-77-8
Decyl-beta-D-glucopyranoside,58846-77-8,Decyl-beta-D-glucopyranoside,癸基吡喃葡萄糖苷; 癸基-beta-D-吡喃葡萄糖苷

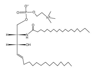
N-Stearoyl-D-Sphingomyelin CAS 58909-84-5
N-Stearoyl-D-Sphingomyelin,58909-84-5,[(E,2S,3R)-3-Hydroxy-2-(Octadecanoylamino)Octadec-4-Enyl] 2-Trimethylammonioethyl Phosphate; [(E,2S,3R)-3-Hydroxy-2-(1-Oxooctadecylamino)Octadec-4-Enyl] 2-Trimethylammonioethyl Phosphate; [(E,2S,3R)-3-Hydroxy-2-Stearamido-Octadec-4-Enyl] 2-Trimethylammonioethyl Phosphate,N-硬脂酰-D-鞘磷脂

D-erythro-Sphingosine CAS 123-78-4
D-erythro-Sphingosine,123-78-4,(2S,3R,4E)-2-Amino-4-octadecene-1,3-diol; (-)-D-erythro-Sphingosine; (-)-Sphingosine; (2S,3R)-Sphingosine; (4E)-Sphingenine; 4-Sphingenine; 4-trans-Sphingenine; C18-Sphingosine; D-(+)-erythro-4-trans-Sphingenine,D-赤式-鞘氨醇

4-Octadecene-1, 3-diol, 2-azido-, 3-benzoate, (2S, 3R, 4E) CAS 103348-50-1
4-Octadecene-1, 3-diol, 2-azido-, 3-benzoate, (2S, 3R, 4E),103348-50-1,(2S,3R,4E)-2-Azido-3-benzoyloxy-4-octadecen-1-ol,(2S,3R,4E)-2-叠氮基-3-苯甲酰赤式-鞘氨醇

Gentiobiose CAS 554-91-6
Gentiobiose,554-91-6,6-O-beta-D-Glucopyranosyl-D-glucosee,6-O-beta-D-吡喃葡萄糖基-D-葡萄糖; 苦杏仁糖

4-O-b-D-Galactosyl maltose CAS 143444-32-0
4-O-b-D-Galactosyl maltose,143444-32-0,Galb1-4Glca1-4Glc; GalG2,O-beta-D-吡喃半乳糖基-(1→4)-O-alpha-D-吡喃葡萄糖基-(1→4)-D-葡萄糖

alpha-Galactosylceramide;KRN 7000 CAS 158021-47-7
alpha-Galactosylceramide;KRN 7000,158021-47-7,a-Gal-Cer,N-[(1S,2S,3R)-1-[(alpha-D-吡喃半乳糖基氧基)甲基]-2,3-二羟基十七烷基]二十六烷酰胺
