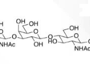
Galb1,4GlcNAcb1,3Galb1,4GlcNAcb1,4Galb1,4GlcNacb1,3Galb1,4Glc Ceramide CAS WUNA-0011
英文名
Galb1,4GlcNAcb1,3Galb1,4GlcNAcb1,4Galb1,4GlcNacb1,3Galb1,4Glc Ceramide
别名
中文名
化学式
C98H176N4O43
分子量
2098.47
CAS号(或者Watson编号)
WUNA-0011
EINECS号
纯度标准
Sales Outside China
Outside China, this product is sold through Watson International Limited (Ltd), and please click the link below for details. (https://www.watson-int.com/), and here is the corresponding link https://www.watson-int.com/Galb1,4GlcNAcb1,3Galb1,4GlcNAcb1,4Galb1,4GlcNacb1,3Galb1,4Glc-Ceramide-cas-WUNA-0011/



