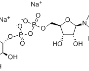
GDP-L-Fuc.2Na CAS 15839-70-0
英文名
GDP-L-Fuc.2Na
别名
Guanosine 5-diphospho-beta-L-fucose disodium salt
中文名
5`-二磷酸鸟嘌呤核苷-岩藻糖二钠盐
化学式
C16H23N5O15P2Na2
分子量
633.31
CAS号(或者Watson编号)
15839-70-0
EINECS号
纯度标准
Sales Outside China
Outside China, this product is sold through Watson International Limited (Ltd), and please click the link below for details. (https://www.watson-int.com/), and here is the corresponding link https://www.watson-int.com/GDP-L-Fuc.2Na-cas-15839-70-0/



