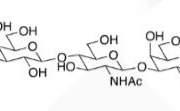
GlcNAcb1,3Galb1,4GlcNAcb1,4Galb1,4GlcNAcb1,3Galb1, 4Glc Ceramide CAS WUNA-0010
英文名
GlcNAcb1,3Galb1,4GlcNAcb1,4Galb1,4GlcNAcb1,3Galb1, 4Glc Ceramide
别名
中文名
化学式
C92H166N4O28
分子量
1936.33
CAS号(或者Watson编号)
WUNA-0010
EINECS号
纯度标准
Sales Outside China
Outside China, this product is sold through Watson International Limited (Ltd), and please click the link below for details. (https://www.watson-int.com/), and here is the corresponding link https://www.watson-int.com/GlcNAcb1,3Galb1,4GlcNAcb1,4Galb1,4GlcNAcb1,3Galb1,-4Glc-Ceramide-cas-WUNA-0010/



