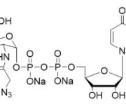
UDP-GlcNAz.2Na CAS 1611490-64-2
英文名
UDP-GlcNAz.2Na
别名
Uridine 5-disphopho-N-acetylazidoglucosamine disodium salt
中文名
化学式
C17H24N6O17P2Na2
分子量
692.05
CAS号(或者Watson编号)
1611490-64-2
EINECS号
纯度标准
Sales Outside China
Outside China, this product is sold through Watson International Limited (Ltd), and please click the link below for details. (https://www.watson-int.com/), and here is the corresponding link https://www.watson-int.com/UDP-GlcNAz.2Na-cas-1611490-64-2/



